艾伟拓(上海)医药科技有限公司

12

手机商铺

qrcode
商家活跃:
产品热度:
  • NaN
  • 0.7999999999999998
  • 1.7999999999999998
  • 0.7999999999999998
  • 3.8

艾伟拓(上海)医药科技有限公司

入驻年限:12

  • 联系人:

    于先生

  • 所在地区:

    上海 浦东新区

  • 业务范围:

    原辅料包材、技术服务、试剂

  • 经营模式:

    生产厂商 代理商

在线沟通

新闻中心/正文

脂质新材料DMG-PEG2000在艾伟拓上线!

934 人阅读发布时间:2020-08-25 13:20

AVT基于深耕磷脂、脂质体、脂肪乳方向多年的资源和经验,继推出脂质新材料DLin-MC3-DMA之后,再次推出新产品DMG-PEG2000。也许有的小伙伴不太熟悉这款磷脂产品,新冠肺炎mRNA疫苗的火热,让DMG-PEG2000迅速蹿红!
 
新闻图片1

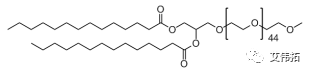
许多小伙伴只知道DMG-PEG2000和DSPE-mPEG2000一样具有长循环作用且基因转染效果更好,却并不了解背后的具体原理。DMG-PEG2000英文全名1,2-dimyristoyl-rac-glycero-3-methoxypolyethylene glycol-2000,中文名可对应翻译为二肉豆蔻酰甘油-聚乙二醇2000。它的分子式为C122H242O50,分子量2509.2(平均值),代表结构如下:
 
新闻图片2

从结构式上就能看出,该材料是通过PEG化修饰了一种短链脂质,C14比常见的DSPE-mPEG2000的C18链短得多,这样最直接的结果就是脂质“锚”嵌插入脂质膜较“浅”,在体循环过程中较易脱落。作用及吸附ApoE的能力,获得zui好的细胞基因沉默效果。
有的小伙伴不经好奇,DMG-PEG2000完整的产品信息是什么?
1.产品名称:DMG-PEG2000
2.化学名称:1,2-二肉豆蔻酰-rac-甘油-3-甲氧基聚乙二醇2000
1,2-dimyristoyl-rac-glycero-3-methoxypolyethylene glycol-2000
3.生产商:艾伟拓(上海)医药科技有限公司
4.CAS号:160743-62-4
5.分子式:C32H62O5(C2H4O)n, n≈45
6.用途:阳离子脂质体
7.性状:白色粉末
8.溶解性:易溶于甲醇,部分溶于水。
9.分子量:约2509.2
10.纯度:≥98%
11.保存条件:-20℃
12.注意事项:避免与强酸、强碱、强氧化性物质接触
▼ H NMR
 
新闻图片3
 
▼ C NMR

新闻图片4
 
“溶酶体/内涵体逃逸”是RNA类药物递送的关键也是难点,药效高低与其直接相关。使用含有短烷基链的聚乙二醇脂质,可在实现体内逃逸的同时快速解离,以此对抗PEG化造成的“内涵体逃逸”失败现象。这也是为何DSPE-mPEG2000在化药脂质体中常用而核酸类脂质体药物使用DMG-PEG2000的基因沉默/表达水平更高、药效zui好。
基于这样的考虑还开发了很多新PEG化脂质,如DMA-PEG2000、PEG2000-Ceramide-C14等,大家在科研工作中可以根据需要选用。
欢迎来电垂询DMG-PEG2000,AVT竭诚为您服务,欢迎惠顾!400-6262-623。

上一篇

脂质体辅料二硬脂酰磷脂酰甘油DSPG-Na应用介绍

下一篇

【AVT】二肉豆蔻酰磷脂酰甘油DMPG-NA的性质与应用

更多资讯

我的询价