12 年
手机商铺
新闻中心/正文
2190 人阅读发布时间:2022-07-20 16:46
1. CD22-ADC药物奥加伊妥珠单抗(贝博萨®;Besponsa)制剂处方分享
2. CD22靶点及已上市、在研药物简介
正文:
Tris是生化实验及制剂生产中常见的缓冲体系,在生物医药等领域得到了广泛应用,如目前已上市的新冠mRNA疫苗其中一款(mRNA-1273®,Moderna,2020)就选用Tris作为缓冲体系。近日,Moderna公司在第五届科学和技术日(Science and Technology Day)活动报告中指出,使用Tris缓冲液可以减少加合物的生成,从而允许mRNA产品在2-8℃环境下的长期储存。

本次AVT产品团队为您分享另一款制剂处方中用到Tris的已上市产品,由辉瑞开发的ADC药物奥加伊妥珠单抗(贝博萨®;Besponsa)
其制剂处方如下:
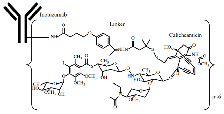
奥加伊妥珠单抗(Besponsa;inotuzumab ozogamicin)是辉瑞开发的一款创新ADC,由靶向CD22的单克隆抗体和细胞毒剂卡奇霉素两部分组成。剂型为冻干粉,其制剂处方中,蔗糖主要发挥冻干保护剂作用,氨丁三醇(TRIS)为pH缓冲剂。
CD22抗原在B细胞表面普遍存在,奥加伊妥珠单抗能够靶向癌细胞,并与之表面的CD22抗原结合。随后,这些ADC会被内吞入癌细胞,卡奇霉素会进一步发挥它的功效,造成癌细胞的死亡。
2017年6月28日,BESPONSA获欧盟批准上市。
2017年8月17日,美国食品药品监督管理局(FDA)批准将BESPONSA用于治疗成人复发或难治性前体B细胞急性淋巴细胞白血病。值得一提的是,这是获得FDA批准的靶向CD22的抗体偶联药物。
2021年12月22日,辉瑞CD22 ADC药物注射用奥加伊妥珠单抗(贝博萨®;Besponsa)在中国正式获批上市,用于复发性或难治性前体B细胞急性淋巴细胞性白血病(ALL)成年患者。这是国内获批上市的第4款ADC药物。
BESPONSA在19~21年的全球销售额分别为10.8亿元,11.9亿元,12.4亿元(单位:人民币,数据来源:药智网)。
关于CD22:
CD22是B细胞表面抑制性辅助受体之一,与B细胞的发展、分化和功能密切相关。研究发现,CD22在大多数B细胞恶性肿瘤细胞表面都有表达,包括急性淋巴细胞白血病、非霍奇金淋巴瘤和慢性淋巴细胞白血病,这使CD22成为了自身免疫疾病和B细胞恶性肿瘤治疗的热门靶点之一。
目前,以CD22为靶点的药物主要有单克隆抗体药物、抗体偶联物(ADC)、CAR-T疗法三大类。
以CD22为靶点的已上市药物:
除奥加伊妥珠单抗(贝博萨®;Besponsa)之外,以CD22为靶点的已上市药物还有一款是阿斯利康的帕舒托-莫塞妥莫单抗(LUMOXITI)。
LUMOXITI (moxetumomab pasudotox-tdfk)是一种重组的靶向于CD22的抗毒素,曾进入了治疗毛细胞白血病的临床三期研究阶段,以及治疗儿童急性淋巴细胞性白血病的临床二期试验阶段。Moxetumomab pasudotox最初由美国国家癌症研究所(NCI)研发,之后授权于MedImmune公司(阿斯利康的子公司)。2013年,Moxetumomab pasudotox被欧洲EMA认证为治疗B淋巴细胞性白血病/淋巴瘤的孤儿药,2018年获FDA批准上市。目前国内尚未获批上市,且暂未有企业申报。
以CD22为靶点的在研药物:
除两款已上市药物外,以CD22为靶点的在研药物有76项,其中多个为CD19/CD22联用的CAR-T疗法。
艾伟拓全新推出氨丁三醇(TRIS)产品(CDE登记号:F20220000153,DMF登记中),此外艾伟拓长期稳定供应注射级蔗糖、海藻糖,均具有GMP条件下生产,注射级,低内毒素、国产化稳定供应、高性价比、DNase/RNase-Free等优势,欢迎来询。同时艾伟拓TRIS-HCl目前有试剂级别样品,有需要欢迎咨询联系!