12 年
手机商铺
新闻中心/正文
727 人阅读发布时间:2023-08-10 09:33
2023年8月1日,日本卫生部的一个小组建议批准第一三共基于mRNA的COVID-19新冠疫苗,这将是全球第四款,日本shou款新冠mRNA疫苗。
第一三共于2023年1月向监管机构提交了mRNA新冠疫苗DS-5670,商标名为 Daichirona。 在新冠疫情大流行期间,日本主要依赖由美国制药商Pfizer和Moderna开发的进口新冠mRNA疫苗。

通过对中文专利进行检索和分析。初步推测其mRNA新冠疫苗的组成。
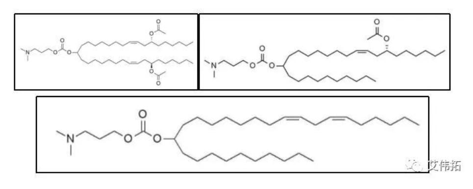
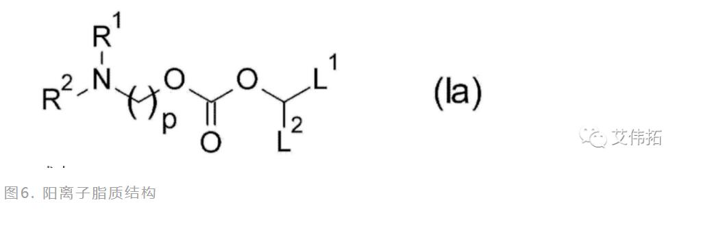
根据权力1的要求,可能的阳离子脂质结构有三种
实施例: