12 年
手机商铺
新闻中心/正文
344 人阅读发布时间:2023-08-14 10:14
好消息一:
C12-200有效递送siRNA[1],通过组合筛选,可实现低剂量,高效率的基因沉默效果。
好消息二:
AVT的C12-200已上线,欢迎询价采购。

在发现和开发能够引导小干扰RNA(SiRNA)通过许多屏障保护目标细胞内部的载体方面,人们做出了巨大的努力。虽然研究已经显示基因沉默在体内的潜力,但要发挥RNA干扰疗法的最广泛潜力,必须提高给药效果。通过组合,合成和筛选不同类别的材料,已经确定了一种能使siRNA引导的小鼠肝脏基因沉默的配方,其剂量低于0.01毫克/千克。这种制剂在一次注射后还能同时抑制五个肝基因的表达。这种制剂的潜力在非人类灵长类动物中得到进一步验证,在这种情况下,在低至0.03mg/kg的剂量下,观察到临床相关基因转胸腺肽的高度敲除水平。据文章所示,这种制剂有助于基因沉默,其剂量比任何先前描述的siRNA肝传递系统所要求的低一个数量级。
Lipidoid-siRNA制剂的体内筛选是由类脂,胆固醇,和PEG脂质组成。在100、20和100 mg/mL的无水乙醇中分别溶解得到了类脂、胆固醇和DMG-mPEG 2000的原液。各组分按照比例组合,质量比为52:20:28。在200 mM的醋酸钠缓冲液(pH 5.0)中加入有机相,搅拌形成空脂质体。在50 mm的醋酸钠溶液中加入10 mg/mL的siRNA,以总脂质:siRNA为10:1的比例,将siRNA加入空脂质体中,在37 ℃下孵育30 min。然后用3,500 MWCO的透析盒(皮尔斯)对PBS进行透析75 min。在缓冲液交换后,每种制剂的样品被用于粒子的表征。采用改良的RiboGreen法(Invitrogen)定量siRNA的包封率,用动态光散射法测量平均粒径。
用Jeffs等人提出的方法制备了C12-200-siRNA。用90%乙醇(摩尔比50:10:38.5:1.5)对C12-200、DSPC、胆固醇和mPEG 2000-DMG进行增溶。siRNA在10 mm柠檬酸盐溶液中溶解(pH3.0,缓冲液浓度为0.4mg/mL)。用装有双相泵头的蠕动泵,在等效体积流量下,混合在“T”结中,对乙醇脂质溶液和siRNA水溶液进行了泵提。脂质与siRNA的结合比例为7:1(wt:wt)。用PBS(155 mm NaCl,3mm Na2HPO4,1mm KH2PO4,pH7.5)对自发形成的C12-200-siRNA进行透析,去除乙醇和交换缓冲液。

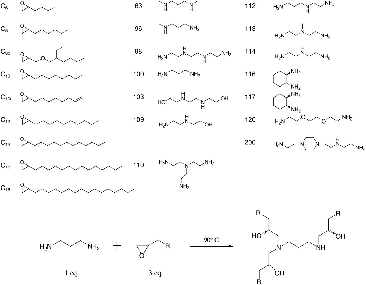
图1:通过组合,设计了阳离子脂质化合物库。
基于脂质的载体介导的siRNA体外释放。
以荧光素酶表达的Hela衍生细胞株为研究对象,以高通量的方式筛选脂质类材料。对这些细胞进行基因修饰,稳定表达酶。在本实验中,以质量比2.5:1,5:1,10:1和15:1的脂质:siRNA进行络合,并与细胞在生长培养基中孵育。荧光素酶的表达在不发生肾素还原的情况下被认为是siRNA介导的沉默,而renilla的表达被作为脂质相关毒性的内部对照。细胞毒性试验也没有任何不良反应的证据。在这个筛选中,发现了许多有助于荧光素酶沉默的化合物,其中三个化合物的沉默率超过90%。为了便于展示,只显示了5:1的质量比的数据。有趣的是,从这些结果中出现了许多结构-活动关系。就尾部长度而言,在15种性能zui好的结构中,有7种结构的尾长为14碳。此外,尾巴长度小于12-碳的化合物也不会引起大于30%的沉默。在头部基团设计中,amine 113存在于前两种化合物和前15种化合物中的三种。虽然在C14尾和amine 113上的趋同是明显的,但并不是所有含有这些结构的化合物都表现出沉默活性。例如,在体外,C8-113和C14-116都不能促进基因沉默,这表明通过优化胺基和尾长的组合来提高传递效率是必要的。

图2:脂质体库的体外筛选
在表达荧光素酶的Hela细胞中,对脂质体进行筛选。(A)将抗荧光素酶的siRNA与可电离阳离子脂质复合,与培养基中的细胞共同孵育。(B)小剂量siRNA沉默荧光素酶。

图3:在小鼠体内沉默FVII因子。

图4:通过检测FVII蛋白水平,观察C12-200介导的基因沉默在体内持续时间超过40天。

图5:五个位于肝脏的基因靶点。
据我们所知,这是关于siRNA介导的五个肝脏靶点在体内同时沉默的最早报道。考虑到C12-200介导的递送的效力,我们假设更多的基因可以同时被合并的siRNA产物沉默。从治疗的角度来看,这可以实现更复杂的治疗方法,其中多个靶点的沉默可以获得增强的治疗效果。例如,这种策略可能特别适用于治疗病毒感染,如丙型肝炎病毒(HCV),在这种病毒感染中,快速进化的病毒基因组已被证明对单一序列的siRNA难以实现。事实上,这一想法以前已经在体外证明,利用核糖核酸内切酶制备的siRNA和编码针对HCV基因组多个区域的短发夹RNA的逆转录病毒载体进行递送。这种多靶点治疗方法还可以采用不同的策略来治疗多因素疾病,如代谢综合征、癌症或感染性疾病

图6:C12-200-siRNA颗粒通过大细胞吞噬引起细胞摄取
(A) 用C12-200配制的荧光标记的siRNA与HeLa细胞在各种内吞途径的标记标记物存在下孵育。含有siRNA的颗粒与标记的葡聚糖共定位,葡聚糖是一种已知通过大细胞吞噬作用进入细胞的液相标记物(白色箭头)。(B) 肌动蛋白纤维的荧光标记揭示了在HeLa细胞暴露于C12-200-siRNA颗粒的15分钟内,膜褶皱(白色箭头)和肌动蛋白重排,这是大胞饮摄取的标志性指标。(C,D)细胞先前暴露于EIPA和Cytochalasin D,分别是大胞饮和肌动蛋白聚合的抑制剂,以剂量依赖性的方式减少C12-200-siRNA颗粒的摄取。(s.d.,n=3,***P<0.005;**P<0.01;*P<0.05

图7:C12-200对非人类灵长类动物的治疗效果。
食蟹猴(每组n=3)通过头静脉接受PBS或0.03、0.1或0.3 mg/kg在C12-200中配制的siTTR,作为15分钟的静脉输注(5 mL/kg)。在给药后48小时从动物身上采集肝活检。在肝脏样品中测定TTR mRNA水平相对于GAPDH mRNA水平。数据点代表组平均值±s.d
本研究最终认为:开发安全有效的siRNA递送载体是基于RNAi的治疗方法持续进步的重要组成部分。随着C12-200等高效材料的鉴定,可以实现更宽的治疗指数、持久的基因沉默和多靶点治疗疾病的方法。
Reference: